二叉树问题思考角度就是站到ROOT节点,思考我要让左右节点返回给我什么信息。然后思考我有了这个信息后要干什么

路径总和 III[12]

数组情况:和为k的子数组

思路:

  1. 暴力,以每个节点为起点出发,然后直接遍历到终点。两层for循环
1
2
3
4
5
6
7
8
9
10
11
12
13
14
15
16
17
18
19
20
21
22
23
24
25
26
27
28
29
30
31
32
33
34
35
36
37
38
39
40
41
42
43
/**
* Definition for a binary tree node.
* public class TreeNode {
* int val;
* TreeNode left;
* TreeNode right;
* TreeNode() {}
* TreeNode(int val) { this.val = val; }
* TreeNode(int val, TreeNode left, TreeNode right) {
* this.val = val;
* this.left = left;
* this.right = right;
* }
* }
*/
class Solution {
//暴力
int res = 0;
long targetSum = 0;
public int pathSum(TreeNode root, int _targetSum) {
//暴力搜索,类似于我们 普通前缀和的 两层for循环
targetSum = (long)_targetSum;
t1(root);
return res;
}
public void t1(TreeNode root){
if(root == null) return;
//起点
traverse(root, 0);
t1(root.left);
t1(root.right);
}
public void traverse(TreeNode root,long curSum){
if(root == null){
return;
}
curSum+=root.val;
if(curSum == targetSum) res++;
traverse(root.left, curSum);
traverse(root.right, curSum);
}

}
  1. 前缀和+ 两数之和
1
2
3
4
5
6
7
8
9
10
11
12
13
14
15
16
17
18
19
20
21
22
23
24
25
26
27
28
29
30
31
32
33
34
35
36
37
38
39
40
41
42
43
44
45
46
47
48
49
50
51
/**
* Definition for a binary tree node.
* public class TreeNode {
* int val;
* TreeNode left;
* TreeNode right;
* TreeNode() {}
* TreeNode(int val) { this.val = val; }
* TreeNode(int val, TreeNode left, TreeNode right) {
* this.val = val;
* this.left = left;
* this.right = right;
* }
* }
*/
class Solution {
//暴力
int res = 0;
long targetSum = 0;
//只针对单一个数
//k:前缀和 v:相同前缀和的个数
Map<Long, Integer> preSumCounter = new HashMap<>();

public int pathSum(TreeNode root, int _targetSum) {
//前缀和 + 两数之和
targetSum = (long) _targetSum;
preSumCounter.put(0L, 1); // 前缀和为0的次数为1
traverse(root, 0);
return res;
}

public void traverse(TreeNode root, long curSum) {
if (root == null) {
return;
}
curSum += root.val;
// preSum - xx = targetSum
// preSum - targetSum = xx
//即在map里找是否有 树为 presum + (-targetSum)
res += preSumCounter.getOrDefault(curSum + (-targetSum), 0);
//更新前缀和
preSumCounter.put(curSum, preSumCounter.getOrDefault(curSum, 0) + 1);

traverse(root.left, curSum);
traverse(root.right, curSum);

//回退
preSumCounter.put(curSum, preSumCounter.get(curSum) - 1);
}

}

二叉树中的最大路径和[173]

思路

  1. 站在ROOT节点思考左右节点要返回给我什么信息?我希望左子节点返回给我左子树的最大路径和。右节点类似
  2. 思考有了这个信息要干什么。无非就是求出最大路径和
    四种情况
    leftSum + cur.val

rightSum + cur.val

cur.val

cur.val + leftSum + rightSum

画板

1
2
3
4
5
6
7
8
9
10
11
12
13
14
15
16
17
18
19
20
21
22
23
24
25
26
27
28
29
30
31
32
/**
* Definition for a binary tree node.
* public class TreeNode {
* int val;
* TreeNode left;
* TreeNode right;
* TreeNode() {}
* TreeNode(int val) { this.val = val; }
* TreeNode(int val, TreeNode left, TreeNode right) {
* this.val = val;
* this.left = left;
* this.right = right;
* }
* }
*/
class Solution {
int res = Integer.MIN_VALUE;
public int maxPathSum(TreeNode root) {
dfs(root);
return res;
}
public int dfs(TreeNode cur){
if(cur == null) return 0;
int leftSum = dfs(cur.left);
int rightSum = dfs(cur.right);
//子树的返回
int ret = Math.max(cur.val, Math.max(leftSum,rightSum) + cur.val);
//最终结果
res = Math.max(res, Math.max(ret, cur.val + leftSum + rightSum));
return ret;
}
}

二叉树的最近公共祖先[251]

思路:

法一:DFS

1
2
3
4
5
6
7
8
9
10
11
12
13
14
15
16
17
18
19
20
21
22
23
24
25
26
27
28
29
30
31
32
33
/**
* Definition for a binary tree node.
* public class TreeNode {
* int val;
* TreeNode left;
* TreeNode right;
* TreeNode(int x) { val = x; }
* }
*/
class Solution {
public TreeNode lowestCommonAncestor(TreeNode root, TreeNode p, TreeNode q) {
//法一 dfs
return dfs(root, p, q);
}

public TreeNode dfs(TreeNode root, TreeNode p, TreeNode q) {
if (root == null) {
return root;
}
if (root == p || root == q)
return root;
TreeNode left = dfs(root.left, p, q);
TreeNode right = dfs(root.right, p, q);
if (left == null)
return right;
if (right == null)
return left;
if (left == right)
return root;
//p,q都没找到
return root;
}
}

法二:Map存子节点->父节点,然后转换成相交链表问题

1
2
3
4
5
6
7
8
9
10
11
12
13
14
15
16
17
18
19
20
21
22
23
24
25
26
27
28
29
30
31
32
33
34
35
36
37
38
39
40
41
42
/**
* Definition for a binary tree node.
* public class TreeNode {
* int val;
* TreeNode left;
* TreeNode right;
* TreeNode(int x) { val = x; }
* }
*/
class Solution {
//k:子节点 v:父节点
Map<TreeNode, TreeNode> map = new HashMap<>();

public TreeNode lowestCommonAncestor(TreeNode root, TreeNode p, TreeNode q) {
dfs(root, null);
//q节点的祖先 集合
Set<TreeNode> qZX = new HashSet<>();
while (q != null) {
qZX.add(q);
q = map.get(q);
}

while (p != null) {
//相交节点
if (qZX.contains(p)) {
return p;
}
p = map.get(p);
}
return null;
}

//
public void dfs(TreeNode cur, TreeNode par) {
if (cur == null) {
return;
}
map.put(cur, par);
dfs(cur.left, cur);
dfs(cur.right, cur);
}
}

时间复杂度都是O( N )

对称二叉树[91]

思路:

1.

1
2
3
4
5
6
7
8
9
10
11
12
13
14
15
16
17
18
19
20
21
22
23
24
25
26
27
28
29
30
31
32
class Solution {
public boolean isSymmetric(TreeNode root) {
if(root==null) {
return true;
}
//调用递归函数,比较左节点,右节点
return dfs(root.left,root.right);
}

boolean dfs(TreeNode left, TreeNode right) {
//递归的终止条件是两个节点都为空
//或者两个节点中有一个为空
//或者两个节点的值不相等
if(left==null && right==null) {
return true;
}
if(left==null || right==null) {
return false;
}
if(left.val!=right.val) {
return false;
}
//再递归的比较 左节点的左孩子 和 右节点的右孩子
//以及比较 左节点的右孩子 和 右节点的左孩子
return dfs(left.left,right.right) && dfs(left.right,right.left);
}
}

作者:王尼玛
链接:https://leetcode.cn/problems/symmetric-tree/solutions/46560/dong-hua-yan-shi-101-dui-cheng-er-cha-shu-by-user7/
来源:力扣(LeetCode)
著作权归作者所有。商业转载请联系作者获得授权,非商业转载请注明出处。

翻转二叉树[67]

思路:

  1. 翻转左右子节点就好,然后就交给递归函数了

1
2
3
4
5
6
7
8
9
10
11
12
13
14
15
16
17
18
19
20
21
22
23
24
25
26
27
28
29
30
31
32
/**
* Definition for a binary tree node.
* public class TreeNode {
* int val;
* TreeNode left;
* TreeNode right;
* TreeNode() {}
* TreeNode(int val) { this.val = val; }
* TreeNode(int val, TreeNode left, TreeNode right) {
* this.val = val;
* this.left = left;
* this.right = right;
* }
* }
*/
class Solution {
public TreeNode invertTree(TreeNode root) {
return dfs(root);
}

public TreeNode dfs(TreeNode root) {
if (root == null)
return null;
TreeNode left = dfs(root.left);
TreeNode right = dfs(root.right);
//在根节点 交换左右子节点即可
root.left = right;
root.right = left;

return root;
}
}

二叉树的最大深度[87]

思路(DFS):

  1. if(root.left == null && root.right == null) 结果更新时

思路(BFS):

  1. 层序遍历,每过一层 depth++
1
2
3
4
5
6
7
8
9
10
11
12
13
14
15
16
17
18
19
20
21
22
23
24
25
26
27
28
29
30
31
32
33
34
35
36
37
/**
* Definition for a binary tree node.
* public class TreeNode {
* int val;
* TreeNode left;
* TreeNode right;
* TreeNode() {}
* TreeNode(int val) { this.val = val; }
* TreeNode(int val, TreeNode left, TreeNode right) {
* this.val = val;
* this.left = left;
* this.right = right;
* }
* }
*/
class Solution {
//int cnt = 0;
int res = Integer.MIN_VALUE;
public int maxDepth(TreeNode root) {
if(root != null){
dfs(root,1);
return res;
}
return 0;
}
public void dfs(TreeNode root,int cnt){
if(root == null) {
return ;
}
if(root.left == null && root.right == null){
res = Math.max(res,cnt);
return;
}
dfs(root.left,cnt + 1);
dfs(root.right,cnt + 1);
}
}

BFS

1
2
3
4
5
6
7
8
9
10
11
12
13
14
15
16
17
18
19
20
21
22
23
24
25
26
27
28
29
30
31
32
33
34
35
36
37
38
/**
* Definition for a binary tree node.
* public class TreeNode {
* int val;
* TreeNode left;
* TreeNode right;
* TreeNode() {}
* TreeNode(int val) { this.val = val; }
* TreeNode(int val, TreeNode left, TreeNode right) {
* this.val = val;
* this.left = left;
* this.right = right;
* }
* }
*/
class Solution {
public int maxDepth(TreeNode root) {
ArrayDeque<TreeNode> q = new ArrayDeque();
if (root != null)
q.add(root);
int depth = 0;
while (!q.isEmpty()) {
int size = q.size();
while (size > 0) {
TreeNode cur = q.remove();
if (cur.left != null) {
q.add(cur.left);
}
if (cur.right != null) {
q.add(cur.right);
}
size--;
}
depth++;
}
return depth;
}
}

二叉树的直径[79]

思路

1
2
3
4
5
6
7
8
9
10
11
12
13
14
15
16
17
18
19
20
21
22
23
24
25
26
27
28
29
30
31
32
33
34
/**
* Definition for a binary tree node.
* public class TreeNode {
* int val;
* TreeNode left;
* TreeNode right;
* TreeNode() {}
* TreeNode(int val) { this.val = val; }
* TreeNode(int val, TreeNode left, TreeNode right) {
* this.val = val;
* this.left = left;
* this.right = right;
* }
* }
*/
class Solution {
int res = 0;

public int diameterOfBinaryTree(TreeNode root) {
dfs(root);
return res;
}
//也是站在当前根节点 思考 左右子节点要给我返回什么
public int dfs(TreeNode root) {
if (root == null) {
return 0;
}
int lM = dfs(root.left);
int rM = dfs(root.right);
res = Math.max(lM + rM, res);
// 这个 1 是指Cur节点返回给上一级的时候,要把cur节点 加上去
return Math.max(lM, rM) + 1;
}
}

验证二叉搜索树[79]

思路:

  1. 二叉搜索树 中序遍历 为 单调递增数组
1
2
3
4
5
6
7
8
9
10
11
12
13
14
15
16
17
18
19
20
21
22
23
24
25
26
27
28
29
30
31
32
33
34
35
36
37
/**
* Definition for a binary tree node.
* public class TreeNode {
* int val;
* TreeNode left;
* TreeNode right;
* TreeNode() {}
* TreeNode(int val) { this.val = val; }
* TreeNode(int val, TreeNode left, TreeNode right) {
* this.val = val;
* this.left = left;
* this.right = right;
* }
* }
*/
class Solution {
List<Integer> list = new ArrayList();

public boolean isValidBST(TreeNode root) {
f1(root);
for (int i = 1; i < list.size(); i++) {
if (list.get(i) <= list.get(i - 1)) {
return false;
}
}
return true;
}
//二叉搜索树 中序遍历 为 单调递增数组
public void f1(TreeNode root) {
if (root == null) {
return;
}
f1(root.left);
list.add(root.val);
f1(root.right);
}
}

二叉树的序列化与反序列化[57]

思路:

  1. 序列化容易,就是前序遍历,转成字符串,或者层序遍历
  2. 反序列化比较难,一种是bfs,一种是dfs
  3. 就是你序列化以BFS,你反序列化就是要BFS。DFS同样
  4. 题目其实就是给你root,序列化成字符串,然后再根据字符串反序列为树

DFS

1
2
3
4
5
6
7
8
9
10
11
12
13
14
15
16
17
18
19
20
21
22
23
24
25
26
27
28
29
30
31
32
33
34
35
36
37
38
39
40
41
42
43
44
45
46
47
48
49
50
51
52
53
54
55
56
57
58
59
60
/**
* Definition for a binary tree node.
* public class TreeNode {
* int val;
* TreeNode left;
* TreeNode right;
* TreeNode(int x) { val = x; }
* }
*/
public class Codec {
StringBuilder serRes = new StringBuilder();
// Encodes a tree to a single string.
public String serialize(TreeNode root) {
f1(root);
return serRes.toString();
}
public void f1(TreeNode root){
if(root == null){
serRes.append("null,");
return;
}
else serRes.append(root.val + ",");
f1(root.left);
f1(root.right);
}

// Decodes your encoded data to tree.
public TreeNode deserialize(String data) {
String []datas = data.split(",");
return builder(datas);
}
//构建树
int index = 0;

public TreeNode builder(String[] data){
//看示例1 即 从上到下,从右倒左遍历
String curV = data[index];
index++;
//当前节点
TreeNode curNode = null;
if(curV.equals("null")){
return curNode;
}
else {
int curVN = Integer.parseInt(curV);
curNode = new TreeNode(curVN);
//左右子节点 交给子树去构造,相信递归
curNode.left = builder(data);
curNode.right = builder(data);
}

return curNode;

}
}

// Your Codec object will be instantiated and called as such:
// Codec ser = new Codec();
// Codec deser = new Codec();
// TreeNode ans = deser.deserialize(ser.serialize(root));

BFS

1
2
3
4
5
6
7
8
9
10
11
12
13
14
15
16
17
18
19
20
21
22
23
24
25
26
27
28
29
30
31
32
33
34
35
36
37
38
39
40
41
42
43
44
45
46
47
48
49
50
51
52
53
54
55
56
57
58
59
60
61
62
63
64
65
66
67
68
69
/**
* Definition for a binary tree node.
* public class TreeNode {
* int val;
* TreeNode left;
* TreeNode right;
* TreeNode(int x) { val = x; }
* }
*/
public class Codec {
StringBuilder serRes = new StringBuilder();

// Encodes a tree to a single string.
public String serialize(TreeNode root) {
Queue<TreeNode> q = new LinkedList<>();
q.add(root);
while (!q.isEmpty()) {
TreeNode cur = q.poll();
if (cur != null) {
serRes.append(cur.val).append(",");
q.add(cur.left);
q.add(cur.right);
} else {
serRes.append("null,");
}
}
return serRes.toString();

}

// Decodes your encoded data to tree.
public TreeNode deserialize(String data) {

String[] datas = data.split(",");

return builder(datas);
}

//构建树
public TreeNode builder(String[] data) {

if (data.length == 0 || data[0].equals("null")) {
return null;
}
TreeNode res = new TreeNode(Integer.parseInt(data[0]));
Queue<TreeNode> q = new LinkedList<>();
q.add(res);
int index = 1;
while (!q.isEmpty()) {
TreeNode curNode = q.poll();
if (!data[index].equals("null")) {
curNode.left = new TreeNode(Integer.parseInt(data[index]));
q.add(curNode.left);
}
index++;
if (!data[index].equals("null")) {
curNode.right = new TreeNode(Integer.parseInt(data[index]));
q.add(curNode.right);
}
index++;
}
return res;
}
}

// Your Codec object will be instantiated and called as such:
// Codec ser = new Codec();
// Codec deser = new Codec();
// TreeNode ans = deser.deserialize(ser.serialize(root));

二叉树展开为链表[43]

思路:

1
2
3
4
5
6
7
8
9
10
11
12
13
14
15
16
17
18
19
20
21
22
23
24
25
26
27
28
29
30
31
32
/**
* Definition for a binary tree node.
* public class TreeNode {
* int val;
* TreeNode left;
* TreeNode right;
* TreeNode() {}
* TreeNode(int val) { this.val = val; }
* TreeNode(int val, TreeNode left, TreeNode right) {
* this.val = val;
* this.left = left;
* this.right = right;
* }
* }
*/
class Solution {
TreeNode pre=null;
public void flatten(TreeNode root) {
if(root==null) return;

if(pre!=null){
pre.right=root;
}
//提前保存一下即可,防止丢失子树
TreeNode tmp=root.right;
pre=root;
flatten(root.left);
flatten(tmp);
root.left=null;
}
}

不同的二叉搜索树[31]

背诵题

思路:

  1. 找规律,先找出 比如 1个节点(n=1),2,….的时候,这时候有多少种二叉搜索树
  2. 然后再找 n和n-1的关系,即递归公式

明确它的一个dp数组含义了,即 第i个节点 有多少种二叉搜索树

1
2
3
4
5
6
7
8
9
10
11
12
13
14
15
16
17
18
19
20
21
22
23
24
25
class Solution {
public int numTrees(int n) {
//1: 1
//2: 2
//3: 5
//dp数组含义:n = i时有多少种二叉搜索树

////如果整数1 ~ n中的 k 作为根节点值,则 1 ~ k-1 会去构建左子树,k+1 ~ n 会去构建右子树。!!!
if( n <= 2) return n;
int []dp = new int[n+1];
dp[0] = 1;
dp[1] = 1;
for(int i = 2;i <= n;i++){
//在 i 范围内,当前节点val = k
//如果整数1 ~ i中的 k 作为根节点值,则 1 ~ k-1 会去构建左子树,k+1 ~ i 会去构建右子树。!!!
//此时
for(int k = 0;k <= i - 1;k++){
//左 和 右 组合
//为什么组合这里是乘法?
dp[i] += dp[k] * dp[i - k - 1];
}
}
return dp[n];
}
}

1️⃣ 为什么是 乘法

我们考虑:

如果整数 1 ~ i 中选 k 作为根节点,
左子树可以用 1 ~ k-1 构建,右子树可以用 k+1 ~ i 构建。

假设:

  • 左子树可以构建 L = dp[k] 种不同的 BST
  • 右子树可以构建 R = dp[i - k - 1] 种不同的 BST

总的 BST 数量 = 左子树方案数 × 右子树方案数

为什么是乘法?
因为每一种左子树都可以和每一种右子树组合成一个新的 BST。
这是经典的排列组合思想:左 * 右

比如小明有4个苹果,小红有5个香蕉。他们组合是多少,那肯定是4*5

举个小例子:

  • k=2,左子树用 1 构建 → 1 种方案
  • 右子树用 3,4 构建 → 2 种方案

总的 BST 数 = 1 * 2 = 2 种。


2️⃣ dp[k] 和 dp[i - k - 1] 分别是左子树和右子树

  • dp[k]左子树的方案数
    因为左子树包含 k 左边的 k 个节点(1 ~ k),所以 dp[k]
  • dp[i - k - 1]右子树的方案数
    因为右子树包含剩下的 i - k - 1 个节点(k+1 ~ i),所以 dp[i - k - 1]

⚠️ 注意下标关系:

  • i = 当前节点总数
  • k = 左子树节点数(或根节点下标?在你的循环中,k是左子树节点数)
  • 右子树节点数 = i - k - 1

打家劫舍 III[19]

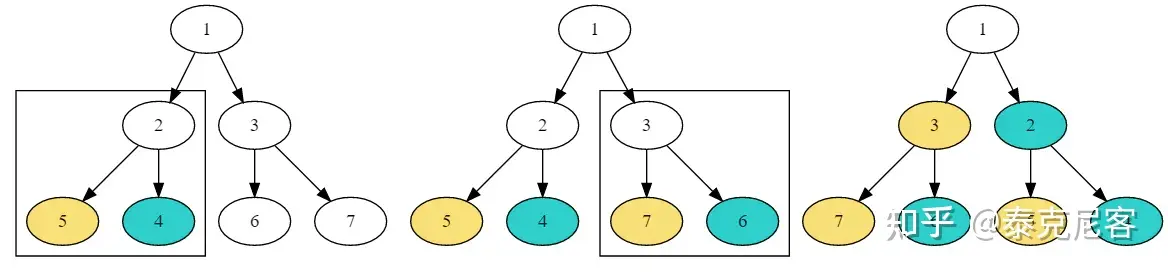
路径总和 III[]

实现 Trie (前缀树)[34]

思路:

  1. 构造26叉树
1
2
3
4
5
6
7
8
9
10
11
12
13
14
15
16
17
18
19
20
21
22
23
24
25
26
27
28
29
30
31
32
33
34
35
36
37
38
39
40
41
42
43
44
45
46
47
48
49
50
51
52
53
54
55

class Trie {
private static class Node {
Node[] son = new Node[26];
boolean end = false;
}

private final Node root = new Node();

public Trie() {

}

public void insert(String word) {
Node cur = root;
for (char c : word.toCharArray()) {
int index = c - 'a';
//无路可走? new 出来
if (cur.son[index] == null) {
cur.son[index] = new Node();
}
cur = cur.son[index];
}
cur.end = true;
}

public boolean search(String word) {
return find(word) == 2;
}

public boolean startsWith(String prefix) {
return find(prefix) != 0;
}

public int find(String word) {
Node cur = root;
for (char c : word.toCharArray()) {
int index = c - 'a';
if (cur.son[index] == null)
return 0;
cur = cur.son[index];
}
//2为找到了 1为找到前缀
return cur.end ? 2 : 1;
}
}

/**
* Your Trie object will be instantiated and called as such:
* Trie obj = new Trie();
* obj.insert(word);
* boolean param_2 = obj.search(word);
* boolean param_3 = obj.startsWith(prefix);
*/

把二叉搜索树转换为累加树[4]

思路:

  1. 利用二叉搜索树的特性,中序遍历为 有序数组
  2. 然后算出中序遍历后的数组的每个的元素的后缀和
  3. 然后再次中序遍历更改 树节点的val
1
2
3
4
5
6
7
8
9
10
11
12
13
14
15
16
17
18
19
20
21
22
23
24
25
26
27
28
29
30
31
32
33
34
35
36
37
38
39
40
41
42
43
44
45
46
47
48
49
50
/**
* Definition for a binary tree node.
* public class TreeNode {
* int val;
* TreeNode left;
* TreeNode right;
* TreeNode() {}
* TreeNode(int val) { this.val = val; }
* TreeNode(int val, TreeNode left, TreeNode right) {
* this.val = val;
* this.left = left;
* this.right = right;
* }
* }
*/
class Solution {
List<Integer> l = new ArrayList();
int index = 0;
public TreeNode convertBST(TreeNode root) {
traverse(root);
//System.out.println(l);
//每个节点 node 的新值 等于 原树中大于或等于 node.val 的值之和
int sum = 0;
for(int i = 0;i < l.size(); i++){
sum += l.get(i);
}
int preSum = 0;
for(int i = 0; i < l.size(); i++){
int temp = l.get(i);
l.set(i, sum - preSum);
preSum += temp;
}
generate(root);
//System.out.println(l);
return root;
}
public void traverse(TreeNode root){
if(root == null) return;
traverse(root.left);
l.add(root.val);
traverse(root.right);
}
public void generate(TreeNode root){
if(root == null) return;
generate(root.left);
root.val = l.get(index);
index++;
generate(root.right);
}
}

合并二叉树[]

思路

  1. 前序遍历,但这样是错误,在merge时,root1 = root2,改变的不是引用!
1
2
3
4
5
6
7
8
9
10
11
12
13
14
15
16
17
18
19
20
21
22
23
24
25
26
27
28
29
30
31
32
33
34
35
36
37
38
39
/**
* Definition for a binary tree node.
* public class TreeNode {
* int val;
* TreeNode left;
* TreeNode right;
* TreeNode() {}
* TreeNode(int val) { this.val = val; }
* TreeNode(int val, TreeNode left, TreeNode right) {
* this.val = val;
* this.left = left;
* this.right = right;
* }
* }
*/
class Solution {
public TreeNode mergeTrees(TreeNode root1, TreeNode root2) {
dfs(root1, root2);
return root1;
}
public void dfs(TreeNode root1,TreeNode root2){
if(root1 == null && root2 == null){
return;
}
else if(root1 == null && root2 != null){
root1 = root2;
return;
}
else if(root1 != null && root2 == null){

return;
}
else if(root1 != null && root2 != null){
root1.val += root2.val;
}
dfs(root1.left,root2.left);
dfs(root1.right,root2.right);
}
}

正确的做法:

1
2
3
4
5
6
7
8
9
10
11
12
13
14
15
16
17
18
19
20
21
22
23
24
25
26
27
28
29
30
31
32
33
34
35
36
37
38
39
/**
* Definition for a binary tree node.
* public class TreeNode {
* int val;
* TreeNode left;
* TreeNode right;
* TreeNode() {}
* TreeNode(int val) { this.val = val; }
* TreeNode(int val, TreeNode left, TreeNode right) {
* this.val = val;
* this.left = left;
* this.right = right;
* }
* }
*/
class Solution {
public TreeNode mergeTrees(TreeNode root1, TreeNode root2) {
return build(root1, root2);
}
//返回节点
public TreeNode build(TreeNode root1, TreeNode root2){
if(root1 == null && root2 == null){
return null;
}
if(root1 != null && root2 == null){
return root1;
}
if(root1 == null && root2 != null){
return root2;
}

TreeNode res = new TreeNode();
if(root1 != null && root2 != null) res.val = root1.val + root2.val;
res.left = build(root1.left, root2.left);
res.right = build(root1.right, root2.right);

return res;
}
}